"Укрзалізниця" може залишитись без постачальника рейок

"Укрзалізниця" може залишитись без постачальника рейок
Після початку широкомасштабного вторгнення російських військ на територію нашої країни українська залізнична інфраструктура зазнає значних пошкоджень. Для відновлення залізничних колій АТ «Укрзалізниця» вимушено здійснювати закупівлю рейок за кордоном, оскільки, єдиним постачальником рейок до лютого 2022 року для потреб української залізниці був металургійний комбінат Азовсталь.
Для закордонних виробників та постачальників рейок АТ «Укрзалізниця» були сформовані необхідні умови, серед яких на першому місці стояли вимоги щодо відповідності рейок вимогам ДСТУ по якості та твердості поверхні катання (з використанням спеціальних марок сталі та застосуванням особливих технологій гартування готового виробу), які суттєво відрізняються від вимог до рейок, що використовуються у країнах Європі та Азії.
Одним із європейських виробників рейок, що підтвердив готовність виробляти для України рейки необхідної якості є чеський металургійний комбінат TŘINECKÉ ŽELEZÁRNY, a.s., який протягом 2023 року вдосконалював технологію виробництва та виробив рейки необхідної якості, що дозволило цьому меткомбінату пройти сертифікацію та отримати в українському сертифікаційному органі Сертифікат відповідності на залізничні рейки, що відповідають усім вимогам АТ «Укрзалізниця».
Рейки виробництва TŘINECKÉ ŽELEZÁRNY, a.s. поставляються пов’язаною з чеським меткомбінатом українською компанією ТОВ «МІНЕРФІН-ТРАНС» на умовах відстрочки платежу, за ціною виробника, що є найнижчою ціною серед європейських постачальників аналогічних рейок.
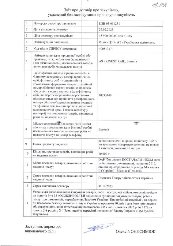
Слід зазначити, що за інформацією з електронної системи публічних закупівель Prozorro, АТ «Укрзалізниця» у 2023 році закупало рейки у наступних постачальників:
- ТОВ «МІНЕРФІН-ТРАНС» – ціна 1 тони 1400 Євро без ПДВ (поставка на залізничну станцію Мостиська);
- AS SKINEST RAIL, Естонія – ціна 1 тони 1590 доларів США без ПДВ, (поставка на залізничну станцію Мостиська );
- Voestalpine Rail Technology GmbH, Австрія – ціна 1 тони 1540 Євро без ПДВ (поставка на залізничну станцію Чоп);
- SAAR STAHL RAIL, Франція – ціна 1 тони 1980 Євро без ПДВ (поставка на залізничну станцію Мостиська).
Незважаючи на очевидну вигоду для АТ «Укрзалізниця», як і для України в цілому, факт поставки ТОВ «МІНЕРФІН-ТРАНС» рейок виробництва TŘINECKÉ ŽELEZÁRNY, a.s. за контрактом, укладеним з АТ «Укрзалізниця», зазнав атаки зі сторони засобів масової інформації, в яких наводяться спотворені дані, здійснюється маніпуляція фактами і, як наслідок, ТОВ «МІНЕРФІН-ТРАНС» безпідставно звинувачується у поставці рейок за завищеними цінами.
Натомість, Львівська митниця звинуватила ТОВ «МІНЕРФІН-ТРАНС» у поставці залізничних рейок за заниженими цінами і винесла рішення щодо коригування митної вартості рейок з 1400 Євро за тону до 1540 Євро за тону. Це призвело до додаткових витрат ТОВ «МІНЕРФІН-ТРАНС» при митному оформленні рейок за рахунок сплати додаткового нарахованого ПДВ.
Зазначена ситуація може мати наслідком відмови TŘINECKÉ ŽELEZÁRNY, a.s. від виготовлення та постачання ТОВ «МІНЕРФІН-ТРАНС» у подальшому залізничних рейок для України через репутаційні ризики та непередбачувані витрати у процесі здійснення такої діяльності. Таким чином, АТ «Укрзалізниця» втратить постачальника якісних рейок за конкурентною ціною, а український ринок вкотре підтвердить свою високу ризикованість та неспроможність діяти у цивілізованих рамках.
Автор: Максим Добрій
Теги: Львовская таможняЛьвівська митницяДержзакупівліГосзакупкиSAAR STAHL RAILVoestalpine Rail Technology GmbHAS Skinest RailООО Минерфин-трансАзовстальУкрзализныцяУкрзалізницяАТ Укрзалізниця
Коментарі:
comments powered by DisqusЗагрузка...
Наші опитування
Показати результати опитування
Показати всі опитування на сайті
