
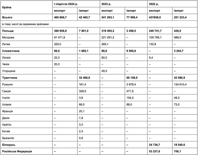
В течение первого полугодия 2024 года в Украину из Турции импортировали более чем 32,4 тысячи тонн щебеночной продукции/наполнителей для бетонов/балластов.
Об этом сообщили в Ассоциации «Производителей нерудных строительных материалов Украины» со ссылкой на данные Государственной службы статистики Украины по внешней торговле отдельными видами товаров по странам мира.
В течение последних трех лет Турция остается лидером по объемам поставок щебеночной продукции/наполнителей для бетонов/балластов в Украину: в 2023 году было импортировано около 60,16 тысячи тонн, в 2022 году – 42,6 тысячи тонн.
Кроме Турции, эту продукцию в Украину поставляли из следующих стран (первое полугодие 2024 / 2023 / 2022, данные в тысячах тонн, округлено):
Что касается экспорта щебеночной продукции, крупнейшими были поставки в Польшу (369 / 319,5 / 249,7) и Молдову (91,5 / 221,3 / 109,8).
Как указано в опубликованных данных, в 2022 году Украина импортировала 18,5 тысячи тонн щебеночной продукции из Республики Беларусь и 700 тонн из Российской Федерации (экспортируя в 2022 году в РБ 24,7 тысячи тонн и в РФ – 53,2 тысячи тонн).
В целом, согласно обнародованным данным, объем экспорта и импорта гальки, гравия, щебня или дробленого камня, который обычно используется как наполнитель для бетона или балласт для мощения шоссейных дорог и железнодорожных путей или как другие виды балласта, галька и кремень, термически обработанные или необработанные (код УКТ ВЭД 2517 10) составлял:
