Якою має бути пенсія у військових? Таємні плани урядових реформаторів

Якою має бути пенсія у військових? Таємні плани урядових реформаторів
Чи буде сенс служити у Збройних силах України. Авторський матеріал генерал-полковника Анатолія Лопати
Протягом десятиліть держава формувала та удосконалювала механізми формування якісної висококваліфікованої армії. Для набору (вербування) освіченої патріотичної молоді йшли шляхом надання високої зарплатні та пільг, а для формування військової еліти – гарантовано високої пенсії та пільг ветерану та його сім’ї.
Починаючи з 90-х років минулого століття держава комерціалізувалася, їй було не до військових, тому видатки на збройні сили постійно намагались зменшити, зекономити на «непотрібній» армії. Це проявилося і в зниженні норм пенсійного забезпечення військовиків – введенням 24 місяців для призначення пенсії з часу подання документів, передачі військових пенсіонерів Пенсійному фонду, у відриві грошового забезпечення військових від суми нарахування пенсії (не все що платиться йде у пенсію, далі у прикладі), а тепер ще й у скасуванні основних принципів пенсійного забезпечення захисників Батьківщини.
Керуючись виключно кон’юнктурними інтересами, не розглядаючи армію як опору держави, стараючись виконати завдання щодо мінімізації пенсійних виплат ветеранам військової служби, чиновники на рівні віце-прем’єр міністра, керівників та їх заступників у Мінсоцполітики та Пенсійному фонді вирішили зекономити 10 – 20 млрд. грн. на рік, змінивши військову пенсійну систему.
У законі про пенсійну реформудля цивільних громадян, що стартувала у жовтні 2017 року, прописано: Кабінету міністрів до кінця року внести зміни у законодавство щодо адаптації військових пенсій до нових умов (військові пенсії у зв’язку з підвищенням рівня оплати праці військовиків перераховувалися останній раз у 2008 році).
Ціль благородна та відповідає інтересам держави – але якщо це виконувати так, як написано у законі, — буквально. Що ж відбувається в дійсності. Віце-прем’єр та міністр соцполітики зі своїм заступником готують знищення порядку нарахування військових пенсій. Дискримінаційні зміни в системі пенсійного забезпечення військових приймаються в порушення регламенту Кабміну. Проект готується за закритими дверима, про його зміст не повідомлено зацікавленим відомствам: Генеральному штабу, поліції, прикордонникам, СБУ, ні громадським та ветеранським організаціям. Проект не висвітлено на жодному інтернет-майданчику, бо залякали виконавців. Здавалося б завдання просте: з 1 січня 2018 року відповідно до чинного закону треба забезпечити перерахунок військових пенсій, оскільки з цього дня оклади військових рішенням Уряду підвищуються майже до рівня держслужбовців. Здавалося б, що для цього треба запланувати кошти і йти до цивілізованого їх осучаснення. Але ж у такому випадку треба позбавити корупціонерів 10 – 20 млрд. грн. з державного бюджету 2018 року, які вже заплановані до розпилу та віддати їх ветеранам, інвалідам АТО, сім’ям загиблих воїнів. Для чиновників це небезпечно. Тож перед тим, як злити військову пенсійну систему в каналізацію, готується проведення рекламної кампанії з обіцянками «золотих гір», «справедливості», «покращення» та «осучаснення».
Отже, Пенсійний фонд тихо зібрав інформацію та сформував базу пенсіонерів (час їх звільнення та грошове забезпечення на день звільнення за період з 1945 по 2012 рік). Для чого це треба, стане відомо нижче.
Замість отримання інформації щодо запланованих середніх розмірів грошового забезпечення, яке буде виплачуватися військовикам збройних сил, прикордонникам, поліціянтам, розрахунку потреб у грошах для підвищення пенсії у 2018 році, Пенсійний фонд та Мінсоцполітики робить власні розрахунки, які не відомі загалу та не закладаються у бюджет – оскільки їх напевне не буде. Пенсії будуть не підвищуватися, а знижуватися (в більш райдужному варіанті – залишаться без змін або піднімуться на 50-100 грн). Для схвалення проект реформи військових пенсій буде розглянуто серед керівників вищого рівня, яким представлять ці плани як реальне покращення.
Мова йде про анонсований розгляд проекту на засіданні РНБО – як дуже важливий оборонний захід – а насправді прикриття «одного місця» та розподіл відповідальності непопулярної реформи на всіх членів Ради (в т.ч. президента та прем’єр-міністра). Після підтримки такої реформи на найвищому рівні говорити про її недолугість та антидержавність буде не з руки. Це показує, що реформа військових пенсій відбувається без участі фахівців, в кращих традиціях «підкилимного» вирішення.
Для розуміння, що готується — великих знань не потрібно, достатньо трохи інформації та нескладний аналіз.
З прийняттям закону військові пенсії будуть нараховуватися на принципах пенсії за віком. Здається нічого поганого в цьому не має. Якщо не знати, як військова пенсія нараховується зараз, її принципи, що вона стимулює та забезпечує.
Що ж пропонує віце-прем’єр міністр, міністр соцполітики, його заступник та голова Пенсійного фонду?
Пояснення на пальцях від автора цього матеріалу.
Зараз військова пенсія базується на двох «китах» – проходженні служби (вислузі років) та кар’єрному рості (грошовому забезпеченні). Ці два показники є рівноправними під час обчислення військової пенсії та стимулюють чесне тривале проходження ним військової служби, підвищення професійного рівня, службового зростання, тобто те, що необхідно державі для формування високопрофесійних патріотичних Збройних Сил. Правда, останнім часом через наміри скоротити видатки постійно стараються зменшити ці дві складові, наприклад – знизити розмір пенсії з 90 до 70% від грошового забезпечення, яке йде на пенсію (військова пенсія обчислюється не з усього грошового забезпечення, а з частини — солдат отримує 7-8 тисяч на місяць, а на військову пенсію йде лише дві третини – 4 – 4,5 тис.). Якраз при збереженні існуючого порядку та підвищенні окладів у 2018 року ці перекоси частково були б виправлені, але ні.
Аналізуючи дії чиновників, можна спрогнозувати що буде (що хочуть прийняти з мовчазної згоди влади та громадськості, волонтерів та депутатів). Пенсія буде базуватись на трьох показниках (ось вам і «спрощення», і «прозорість»): військовому стажі, грошовому забезпеченні у місяць звільнення та середній заробітній платі в державі у місяці звільнення військовика.
Що це дає:
Перше і найголовніше – зменшення державних видатків (всі потуги на це і спрямовані, сподівання тільки на це, а не на допомогу ворогам).
Друге – можливість говорити про «справедливий» розподіл пенсійних виплат залежно від витрат держави на утримання військового на день звільнення.
Третє, головне – у нас єдиний принцип нарахування пенсій, як для військових так і для цивільних – ура! Хай радіють обивателі, які ніколи не служили, не присвятили своє життя захисту Батьківщини і ставляться до армії, як до пасинка, якого шкода годувати, але неможливо позбутися. Таке вже відбувалося протягом останніх 25 років. Бачимо до чого це привело.
Четверте – зберігається право на отримання пенсії після 25 років служби, а не після досягнення 60-річного віку.
Ось де «піклування» про армію!
Не здивуємось, якщо маніпулятори суспільної думки знайдуть ще кілька не менш «вбивчих» аргументів, які «проковтне» загіпнотизований електорат.
Що ж буде фактично.
Пенсія в основному буде залежати не від проходження служби, а від середніх заробітків в державі у місяці звільнення на військову пенсію. Тобто – треба вгадати коли звільнятися! Ось вам і лотерея на корупційній основі.
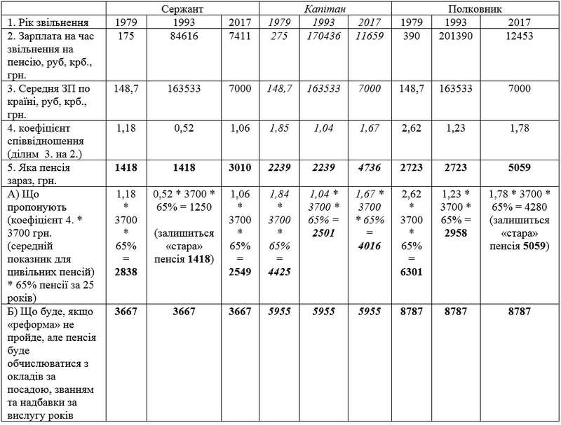
Візьмем для прикладу сержанта, капітана та полковника з однаковою вислугою років – 25, які звільнені у 1979, 1993 та 2017 роках і порівняємо, що вони мали, мають та що їм обіцяють.

Розрахунок приблизний, але характеризує закладену «раціоналізаторами» систему обчислення військових пенсій.
Отже, сержант, звільнений на пенсію у 1979 році буде отримувати приблизно таку ж пенсію (2838), як і полковник, звільнений у 1993 році (2958), але більше ніж капітан 1993 року звільнення (2501) та ніж сержант, звільнений у 1993 (1418) або у 2017 році (2549).
Капітан–«везунчик» 2017 року звільнення (4016) буде отримувати пенсію, більшу ніж полковник, звільнений у «нещасливий» 1993 рік (2958).
Підсумуємо.
Який сенс служити у Збройних силах України, якщо твоя пенсія залежить від ставлення держави до військових на час твого звільнення (якщо платить більше ніж в середньому по країні – пенсія буде менше залежати від того, чи командир ти, чи солдат. Чи маєш військову освіту, чи ні, чи добре служиш чи ні)?
Порівняємо що маємо і що пропонують.

«Реформатори» пропонують знищення професіоналів у армії, служити будуть низько кваліфіковані, малоосвічені громадяни та випадкові люди; ліквідують будь-який престиж військової служби; сприяють розвитку корупції у військових частинах.
Зменшення пенсій та витрат держави на утримання військовиків після їх звільнення, нанесе удар по Збройних силах, сприятиме державі-агресору зниженням їх боєздатності.
Невже такі вже недолугі наші «реформатори»? Можливо це прихована ворожість незалежності нашої Держави? Чому зацікавлені у військовій пенсійній реформі особи, а їх до 2,0 млн. (з сім’ями) не знають про ці проблеми?
Хотілось би довести до чесних політиків наслідки розвалу пенсійної системи, неможливість комплектування армії та утримання воїнів — професіоналів на службі.
Чи не варто подивитись на помилки у пенсійному забезпеченні військовослужбовців з боку шкоди незалежності нашій Батьківщині? Чи всі держави світу так піклуються про військових, як наші?
Автор: Анатолій Лопата
Теги: пенсіонериПенсіїЛопата АнатолийВійськовіЗСУ
Комментарии:
comments powered by DisqusЗагрузка...
Наши опросы
Показать результаты опроса
Показать все опросы на сайте
