ГО “Ошукані українці” виграли суд у ДБР

ГО “Ошукані українці” виграли суд у ДБР
Голова ГО “Ошукані українці” Олександр Литвин, в Шевченківському районному суді міста Києва домігся рішення про скасування постанови другого відділу Управління досудового розслідування кримінальних правопорушень у сфері службової діяльності Головного слідчого управління Державного бюро розслідувань Тібеж О.С. від 22.02.2021 року про відмову у визнанні Литвина О.М. потерпілим у кримінальному провадженні N42020000000002367 від 07.12.2020, за ознаками кримінальних правопорушень, передбачених ч.1 ст.158 та ч.2 ст.358 КК України.
У ході судового засідання Литвин Олександр Миколайович зазначив, що керівництвом ПП “Слуга Народу” було порушено його виборчі права, а саме обирати та бути обраним, але слідчі ДБР відмовили у визнанні Олександра Литвина потерпілим у кримінальному провадженні No42020000000002367 від 07.12.2020, за ознаками кримінальних правопорушень, передбачених ч.1 ст.158 (підробка або незаконне виготовлення, використання або зберігання незаконно виготовлених або підроблених виборчих документів) ч.2 ст.358 (підробка офіційного документа) КК України.
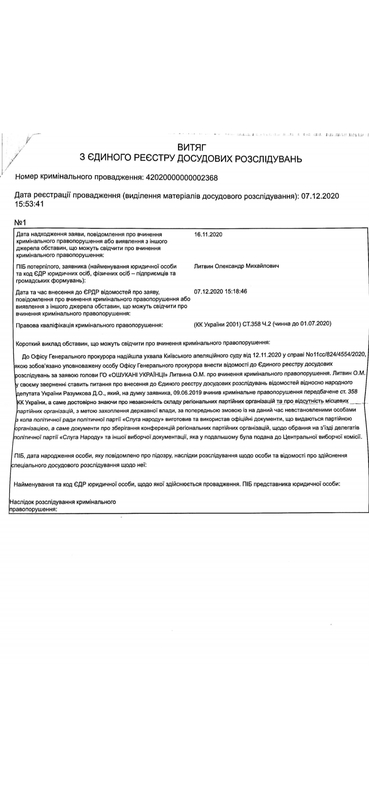
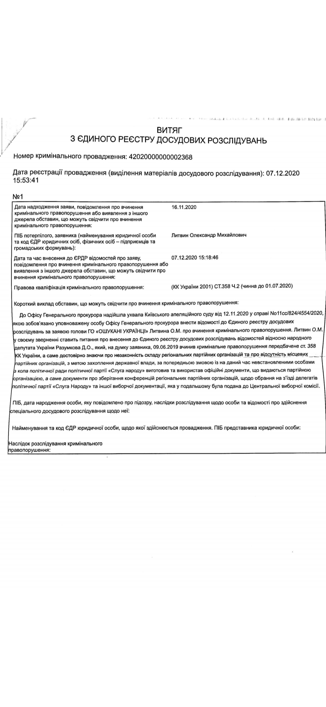
Нагадаємо, Генеральный прокурор України Ирина Венедіктова 07.12.2020 підписала внесення до єдиного реєстру досудових розслідувань кримінальне провадження за номером N42020000000002367 від 07.12.2020, за ознаками кримінальних правопорушень, передбачених ч.1 ст.158 та ч.2 ст.358 КК України за заявою голови ГО “Ошукані Українці” Литвина О.М. про внесення до Єдиного реєстру досудових розслідувань відомостей відносно народного депутата України Разумкова Д.О., який, на думку заявника, 09.06.2019 вчинив кримінальне правопорушення, передбачене ч 1 ст.109 КК України, а саме достовірно знаючи про незаконність складу регіональних партійних організацій та про відсутність місцевих партійних організацій, з метою захоплення державної влади, із невстановленими на даний час особами з кола політичної ради політичної партії “Слуга Народу” забезпечив участь на з’їзді партії лояльних до нього делегатів, які підтримали його кандидатуру 29.08.2019 на посаду голови Верховної Ради України.
Таким чином, в процесі судового засідання в Шевченківському районному суді міста Києва також з’ясувалося, що ч.1 ст. 109 КК України (Дії, вчинені з метою насильницької зміни чи повалення конституційного ладу або захоплення державної влади, а також змова про вчинення таких дій) з невідомих причин зникла з кримінального провадження N42020000000002367 від 07.12.2020 р., яке розслідує ДБР.
Автор: Олег Соломко
Теги: кримінальні провадженняДБРСудВенедиктова ИринаГО Ошукані українціЛитвин Александр
Комментарии:
comments powered by DisqusЗагрузка...
Наши опросы
Показать результаты опроса
Показать все опросы на сайте
