СБУ раскрыла планы россиян по "референдуму" в Херсонской области

СБУ раскрыла планы россиян по "референдуму" в Херсонской области
Россия вместе с коллаборантами готовила так называемый "референдум" в Херсонской области. Однако Служба безопасности раскрыла планы оккупантов и разоблачила организаторов.
Об этом сообщает СБУ.
Кремль пытается "присоединить" южные регионы Украины к составу России и легитимизировать этот процесс. Оккупанты уже разработали концепцию с привязкой к датам.





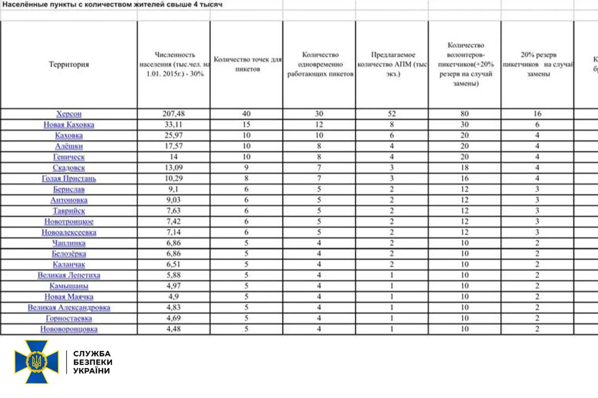
Основную роль в проведении "референдума" отдали прокремлевскому движению "Волонтеры zа Россию". Участники должны сымитировать в регионе поддержку оккупантов местными жителями, а также создать постановочные сюжеты для российских телеканалов.
СБУ отмечает, что жители Херсонской области не поддерживают планы России. В то же время коллаборанты "докладывают" своим российским кураторам, что украинцы против "присоединения", оказывают активное сопротивление и ожидают освобождения.
Спецслужба установила личности и местопребывание предателей и их координаторов.
Теги: ВойнаВійнаКоллаборационизмколаборантиНапад Росії на УкраїнуКремльоккупантыокупантиХерсонская областьРеферендумСБУ
Комментарии:
comments powered by DisqusЗагрузка...
Наши опросы
Показать результаты опроса
Показать все опросы на сайте
