Считали, считали и посчитали

Считали, считали и посчитали
Больше недели Закарпатская таможня исследовала содержание двух фур с контрабандой, которую мы буквально силой заставили таможню сначала не оформить, потом заставили ее искать, потом не выпустить из Украины, а потом таки задержать и начать составлять протокол.
Исследовали пока одну фуру, но и это уже результат.) Протокол таможенникам составлять не хотелось, ведь фуры эти – не просто случайная история, а эпизод системной работы контрабандного коридора в Закарпатье, который функционировал в последнее время.
Через несколько месяцев его работы тандем таможенника Мойсюка и контрабандиста Поповича затащили в Украину несколько десятков фур ценного товара оформляя его как хлам.
Подробно все фуры мы проанализируем чуть позже, а сейчас доведем до логического понимания историю тех двух, кто задержал.
Сколько денег с каждой фуры Попович платил таможенникам – нам неизвестно, а вот сколько они украли из бюджета, мы теперь посчитать можем очень точно.
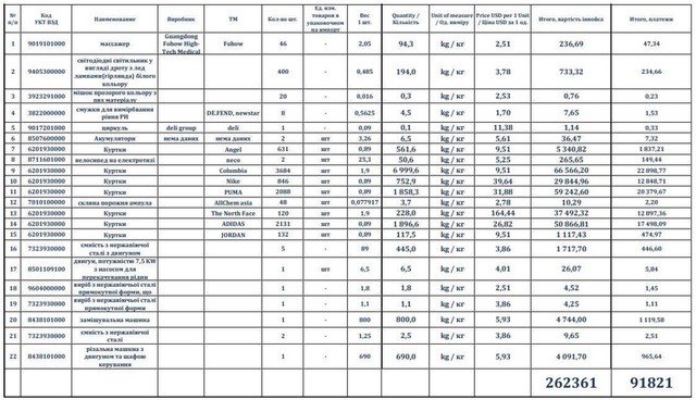
По данным исследования содержания первой фуры основным товаром, который пытались ввезти, были зимние куртки известных мировых брендов. Куртки Columbia – 3684 шт. Куртки PUMA – 2088 шт. Куртки Nike – 846 шт. Куртки ADIDAS – 2131 шт. Куртки The North Face – 120 шт. Куртки JORDAN – 132 шт. Куртки Angel – 631 шт. Также в фуре ехали какие-то двигатели с емкостями, какое-нибудь оборудование и т.д. ком интересные детали рассматривайте табличку.
Я попросил своих друзей на таможне сосчитать таможенную стоимость этих товаров, чтобы понять сколько же эти дельцы хотели украсть из бюджета во время растаможки. Ну так прикрывать эту фуру даже после медийной огласки – это надо иметь там большую маржу. И она таки огромна.
Таможенная стоимость содержимого первой фуры составила 262 тысячи долларов. Подчеркиваю – таможенная, то есть стоимость аналогичных товаров в таможенной базе. Реальная стоимость товаров в 3-5 раза выше.
Ну вы же не поверите, что зимнюю куртку Columbia можно приобрести за 9.5 долларов? (380 грн.) Или зимнюю куртку ADIDAS за 26 долларов. (1000 грн.) А в таможенной базе они так и стоят. То есть реальная стоимость товара в этой фуре составляет около миллиона долларов, поэтому побороться за ее освобождение контрабандистам было важно.
Теперь к платежам в бюджет. Даже из той смехотворной стоимости товара, которая вышла согласно таможенной стоимости, платежи в бюджет должны были составить 92 000 долларов. В среднем по 5,7 долларов на каждый килограмм веса товара.
А сколько хотела заплатить банда Мойсюка – Поповича? Ну согласно декларации, которую они подали таможенные платежи, составляют 7 500 долларов по примерно 0.5 доллара с один килограмм веса. Уловили маржу дельцов? Вместо 92 тысяч долларов уплатить в бюджет 7.5 тысяч. фактически украсть 85 тысяч долларов только на одной фуре.
Конечно, из таких наваров они готовы отдать на «таможню» 20-30 к. и именно поэтому эти фуры так спасали.
Очевидно, что отказываться от борьбы за этот товар даже после составления протокола контрабандист Вася Попович не будет, ведь рыночная стоимость одной фуры около миллиона долларов и он попытается через судебные решения вернуть себе товар.
Его партнер таможенник Мойсюк в этих вопросах как раз и славится своими талантами. Во-первых, таможенники говорят, что именно Мойсюк обеспечивает составление таможней протокола с ошибками, что дает основания суду признать его недействительность, а во-вторых, Мойсюка в Закарпатских судах ждут так же как Поповича на таможенных переходах.) Он «щедро благодарит» судей за решение в пользу контрабандистов.
Но в этот раз вряд ли это получится. Во-первых история получилась очень громкой и спуска ее уже никто не даст, во-вторых, когда все увидят аналитику работы этой компании за последние месяцы и сколько из-за нее украли вопросы к таможне будут на самом высоком уровне.
Что было в первой фуре контрабандиста Поповича, которую так тщательно пытались спасти закарпатские таможенники.
#СутоПохохотать
А теперь изюминка истории с системным каналом контрабанды на Закарпатской таможне. Компанией получателем груза в этой схеме была львовская компания ООО "ВИНДЗОР ЭКСПРЕСС" а отправителем болгарская фирма KASKADARO LTD.
Именно через эти фирмы за последние три месяца в Закарпатье зашло около 30 схемных фур Васи Поповича.
Почему компания из Львова везет китайские товары через болгарскую фирму на Закарпатский пост Тиса и растаможивает их в Мукачево – вопрос, который тянет на взрыв мозга.
Такая цепочка снабжения – 100% повод на срабатывание системы контроля и тщательного ухода за каждой фурой. Это знает каждый таможенник. Но контроля не было. Ни одного.
Но самое удивительное – это уверенность в безнаказанности мальчишек вышедшая за пределы здравого смысла. Оказывается, что компании отправителя товара KASKADARO LTD не существует вообще. Ни в одном открытом реестре компаний Болгарии ее нет.
В декларациях подававшихся к оформлению не указан ни номер компании в реестре, ни города, где она находится. Только страна и улица)
Попытка найти ее по адресу привела к деревянному сараю какого-нибудь болгарского города. Можете поиграть сами. Bulgaria, 8001, Джорджи Кирков, стр., 16, floor 2.
И тут вбиваем последний гвоздь в гроб таможни, которая очень откровенно способствовала этой схеме.
Когда вы, спасая фуры Поповича, подписали декларации на реэкспорт товаров – куда вы их разрешили везти? Вы не заметили, что в документах никаких реквизитов этой компании? Вас не удивило что нет ни кода фирмы, ни города где она находится? Вас все устроило? Ну ну…
Еще интереснее, как будет выглядеть попытка отмены ареста товаров в суде комипанией которой не существует. Дождемся и этого шоу).
Теги: KASKADARO LTDТОВ Віндзор ЕкспресКоррупцияКорупціяТаможенные платежиПопович ВасилийМойсюк ВячеславЗакарпатська митницяЗакарпатьерастаможкаТаможенникиМахинацииконтрабандистыКонтрабандаТаможняМитниця
Комментарии:
comments powered by DisqusЗагрузка...
Наши опросы
Показать результаты опроса
Показать все опросы на сайте
