Реформа или фарс? Тестирование прокуроров выходит на финишную прямую

Реформа или фарс? Тестирование прокуроров выходит на финишную прямую
Тестирование прокуроров продолжается. 9 октября ГПУ обнародовала списки тех, кого допускают на предпоследний этап прокурорского конкурса.
Всего в каждой местной прокуратуре 4 руководящие должности: прокурор, первый зам и два заместителя. После первого этапа почти никто не отсеялся, а вот второй этап существенно подкосил ряды претендентов на теплые прокурорские кресла. Интересным является и содержание списков финалистов, поскольку среди них можно увидеть известных коррупционеров, сыновей и зятей больших шишек Генеральной прокуратуры Украины и других органов, а также еще много «неблагонадежных» личностей.
Что ж, подобьем итоги тестирования на общие способности и выведем общую картину после двух конкурсов, проанализировав списки «ценных» финалистов на руководящие должности.
Результаты второго этапа
Как известно, в рамках реформирования прокуратуры проходит четырёхуровневый открытый конкурс на замещение должностей прокуроров и административных должностей местных прокуратур. Конкурс состоит из: 1) тестирования на знание законодательства; 2) тестирования общих способностей; 3) тестирования личностных характеристик; 4) собеседования.
О перипетиях и результатах первого этапа конкурса и особенностях проведения второго«Прокурорская правда» уже писала. Актуальным является подведение итогов второго этапа и характеристика финалистов конкурса.
Целью тестирования на общие способности было выявление способности кандидатов анализировать, обрабатывать и интерпретировать большие массивы информации за короткое время, находить причинные связи между ними и делать правильные выводы. Тестирование на общие способности состояло из трех блоков: 1) логического; 2) числового; 3) вербального. Тест «подстраивался» под способности кандидата в зависимости от его ответов. Для прохождения теста было отведено 47 минут. Положительная или отрицательная интерпретация баллов этого тестирования осуществлялась только после завершения тестирования всеми участниками данного этапа. Это было связано с тем, что результаты, полученные на этом этапе по каждому из кандидатов, сравнивались с результатами других кандидатов после прохождения тестов каждым их них.
Результаты второго тестирования достаточно неутешительны, ведь со ста возможных баллов средний результат составил всего 29 баллов. 100 баллов, в отличии от первого этапа, никто не набрал. Максимальный балл за тестирование второго этапа составил 93,33 баллов, которые получил Роман Михалюк – заместитель прокурора Сиховского района г. Львов. У него же и самый большой итоговый балл за два этапа тестирования по Украине – 193,33.
Если рассматривать результаты по регионам, то лучший средний результат второго этапа показала столица – 33,3, а Ивано-Франковская область оказалась худшей, показав 25 баллов среднего результата. Минимальное количество баллов составило 5. Правда некоторые прокуроры просто не пришли на второе тестирование.

Обжаловать результаты нельзя. Но много претендентов писали заявление на пересдачу из-за с технических неисправностей онлайн тестов. Также нельзя узнать на какие вопросы был дан правильный ответ, а на какие – неправильный. Эти данные компания-разработчик не предоставляет. Доступными были только баллы по каждому блоку и общий средний балл, подсчитанный администратором.
Несмотря на то, что для претендентов на должности местных прокуроров тесты уже закончились, их назначение будет происходит только после назначения руководителей местных прокуратур, первых заместителей и заместителей, которым ещё надо пройти психологический тест и собеседование. Только после этого руководитель региональной прокуратуры будет издавать приказ о назначении местных прокуроров на должность, беря во внимание итоговый балл кандидата и количество штатных единиц в соответствующей местной прокуратуре.
Итоговый балл за два этапа и краткая характеристика финалистов на руководящие должности
Кандидатов на места будущих руководителей местных прокуратур ждет еще два испытания, но уже известны имена финалистов. В каждой местной прокуратуре таких претендентов 16 (иногда может быть и 17-18, если кто-то набирает одинаковое количество итоговых баллов) по 4 на каждую административную должность. После собеседования их останется 12 – по три на каждую должность. Отобранные три кандидата на каждую должность руководителя местной прокуратуры будут подаваться на рассмотрение Генеральному прокурору Украины, а на должности их первых заместителей и заместителей – руководителю региональной прокуратуры.
Как пишет в оправдание Давид Сакварелидзе в своем Fb, после публикации рейтинговых списков кандидатов на руководящие должности местных прокуратур ему стали известны факты давления со стороны непрошедших кандидатов на тех, кто был допущен к последним этапам. Мол, цель такого давления – освободить место нужному человеку. Для решения этой проблемы в ГПУ приняли решение о том, что опубликованные рейтинговые списки являются финальными и к следующим этапам конкурса допускаются только те кандидаты, которые были включены в них изначально. То есть, если даже кто-то откажется, то вакантного места все равно не будет.
Обещать – одно, а реальность показывает вот что.
Средний итоговый балл по результатам двух тестирований по Украине составил 107 баллов из 200 возможных. Самый низкий итоговый результат составил всего 37 баллов за два этапа. Самый высокий – 193,33. Лидером в региональном зачете стала Львовская область, набрав средний балл 113,4, а последнее место досталось Днепропетровской области со среднем результатом в 101,8 балла.
Обрисуем областную картину по итоговому баллу по схеме: область – средний по области; низший и высший итоговый балл.

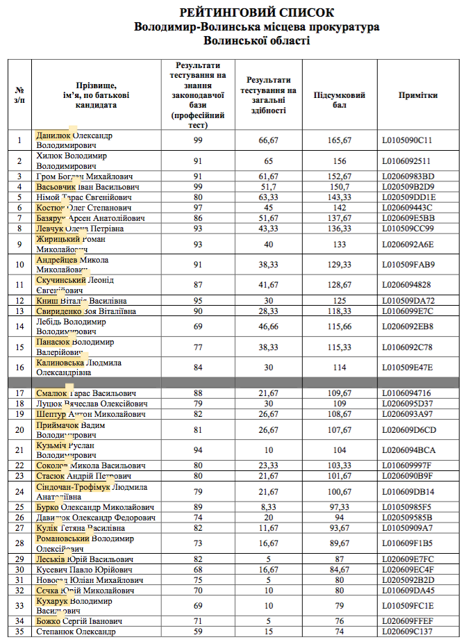
В среднем список претендентов в прокуроры на 70% состоит из уже действующих сотрудников. Например, рейтинговый список руководителей во Владимир-Волынскую местную прокуратуру состоит из 37 человек, 26 из которого – это действующие работники прокуратуры Волынской области. А из 16 финалистов всего двое являются новыми лицами в прокуратуре.

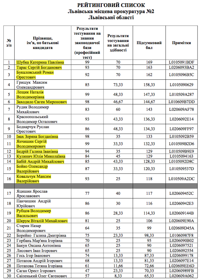
Первые места в списках почти на 80% заняты именно действующими прокурорскими работниками. Например, из 16 финалистов на руководителей Могилев-Подольской местной прокуратуры 13 – это действующие работники прокуратуры Винницкой области. Такая же ситуация в рейтинговом списке Львовской местной прокуратуры №2, где из 16 финалистов 12 – действующие прокуроры, а основная масса «новых партнеров» оказалась на последних местах. И это далеко не исключение, а – правило.


Такая картина характерна для большинства областей. То есть, если даже 100% приоритет будет отдаваться новым людям, то обновление прокуратуры может состояться максимум на 30-35%, ну никак не на 70%. Кроме того, нужно взять во внимание, что новые люди, как правило, не показали хорошего результата и их рейтинг существенно ниже чем у нынешних прокурорских работников. А это еще уменьшает шансы на обновление.
Итак, 70-80% процентов финалистов это нынешние работники прокуратуры. Также часто в рейтинговых списках можно встретить родственников нынешних или бывших высоких чинов прокуратуры, которые, как правило, находятся в первой десятки. Давайте разберемся, кого мы видим в числе первых претендентов на руководящие должности?
Больше всего баллов в Сумкой области набрал нынешний заместитель прокурора г. Сумы Валерий Могильный (166,3). Сам прокурор города Сумы Владимир Ковтун оказался в рейтинге Сумской местной прокуратуры на 7 месте с итоговым результатом в 142 балла. Единственным допущенным к 3-му этапу человеком со стороны в этом списке стал Денис Корабань, который служит в теробороне Сум. Его результат составил 145,3 балла и он занял шестое место в списке. На одиннадцатом месте разместился нынешний прокурор Сумского района Олег Ткаленко – 132,3 балла. Четвертое место в списке Роменской местной прокуратуры занимает нынешний Роменский межрайонный прокурор Владимир Кузченко – 144,7 баллов. Второе место в списке Конотопской местной прокуратуры занял старший прокурор отдела надзора в уголовном производстве в сфере транспорта Сумской областной прокуратуры Александр Алтухов. В списке Шостскинской местной прокуратуры на третьем месте обосновался Глуховский межрайонный прокурор Владислав Правдюк набрав 135,3 баллов.
Лучшие результаты в списке Кременчугской местной прокуратуры показали бывший прокурор одного из районов Луганской области, ныне – участник АТО Алексей Захаров (157 балла), бывший работник милиции, ныне – адвокат Сергей Портянко (149,3 балла) и бывший прокурор Вадим Кохно (142,3 балла).

Григорий Гринь, прокурор города Полтава – сын Григория Гриня, экс-сотрудника аппарата Генеральной прокуратуры Украины и супруг Анны Гринь, прокурора отдела организации участии прокуроров в уголовном производстве прокуратуры Полтавской области, претендует на административные должности Полтавской местной прокуратуры. Григорий набрал 132,3 итоговых балла и занял 11 место в рейтинге. Работая на должности Любенского межрайонного прокурора и пользуясь прикрытием папы из ГПУ, Григорий Гринь обложил данью все силовые и проверяющие органы района. Кроме того прокурору Гриню закидывают крышевание уклонения от налогов, суммы взяток по которым доходят до 100 тысяч евро, и закрытие уголовных дел за деньги даже по тяжким преступлениям.

9-е место, набрав 129,3 балла, в рейтинговом списке Кобелянской местной прокуратуры Полтавской области занял Павел Петров – прокурор Машивского района Полтавской области и супруг Анастасии Петровой, прокурора отдела кадров Полтавской облпрокуратуры.

Среди представителей 16-ти лучших претендентов на руководящие должности местных прокуратур Винницкой области абсолютное большинство имеет влиятельных родственников или многолетний опыт работы в правоохранительных органах. В частности, лидерами второго этапа открытого конкурса ГПУ стали прокурор Липовецкого района Винницкой области Иван Криворучко, который во времена Януковича был начальником отдела защиты прав и свобод детей прокуратуры Винницкой области; сын нотариуса Игоря Лавренова – Роман Лавренов; сын бывшего заместителя председателя Винницкого апелляционного суда Ивана Петришина – Павел Петришин; сын судьи Винницкого апелляционного суда Владимира Сопруна – Владимир Сопрун; жена депутата Винницкого горсовета Стапана Бессолова – Светлана Бессолова; руководитель аппарата Хозяйственного суда Винницкой области Сергей Климчук. Кроме того, в списках есть многолетние работники прокуратуры Людмила Карманчук, Александр Гуцол, Алексей Соловьев, Олег Чайка, а также именитые винницкие адвокаты Борис Слободян, Александр Мазур. Больше всего баллов (169,7) набрал старший следователь по особо важным делам следственного отдела прокуратуры Винницкой области 27-летний Олег Стопинчук. Интересным являет тот факт, что Олег Стопинчук женат на единственной дочери заместителя Винницкого городского головы Андрея Ревы – Наталье. Не повлияло ли это обстоятельство на столь высокий рейтинг молодого прокурора?

Первые три места в списке Львовской местной прокуратуры № 2 заняли действующие прокурорские работники. Первое место досталось Катерине Шубке – старший прокурор прокуратуры Львова. На второе место взобрался Сергей Тарас – старший прокурор прокуратуры Сыховского района Львова. Ну а третье место занял Роман Букаловский – старший прокурор прокуратуры Львова. Всего в этом списке из 16 претендентов 12 это работники прокуратуры.

Сергей Сисын, Стрыйский межрайонный прокурор Львовской области – свояк Тараса Дунаса экс-заместителя прокурора Львоской области, претендует на руководящие должности Дрогобичской местной прокуратуры Львовской области. Он набрал 123,33 балла и занял 8 место. Сергей Сисын, будучи прокурором Городоцкого района Львоской области, стал членом целого клана Дунасов, женившись на дочери председателя строительной комиссии Городоцкого райсовета Омельяна Дунаса. В клан входят: Окана Дунас, экс-председатель Городоцкой РГА, Михаил Дунас, начальник отдела налоговой милиции Городоцкой района, Роман Дунас, председатель бюджетной комиссии Городоцкого райсовета. Прокурора обвиняют в крышевании строительного бизнеса семейного клана Дунасов.

Уверенно к руководящей должности Городоцкой местной прокуратуры Львовской области движется старший прокурор Львова Игорь Шаровара – сын Василия Шаравары, люстрированный первый заместитель прокурора Тернопольской области (экс-заместитель прокурора Хмельницкой области, экс-прокурор Тернополя). Игорь по результатом двух тестов набрал 143,66 баллов и занял 6-е место в рейтинге.

Делает попытку, и пока успешно, вернуться в прокурорские ряды печально известный заместитель начальника следственного отдела прокуратуры Львовской области Андрей Осташевский. 27 июня 2015 года он был задержан сотрудниками Государственной автомобильной инспекции совместно с общественными активистами «Дорожного контроля». Прокурор находился за рулем в состоянии алкогольного опьянения. Прокурор у наркологического центра сделал попытку «спринтерского забега», но гаишники умело догнали его и доставили на освидетельствование в наркологический диспансер. Позже работник прокуратуры отказался выходить из кабинета, и шесть сотрудников милиции вынуждены были его выносить. Сейчас же в рейтинговом списке Львовской местной прокуратуры № 3 он занимает 15 место с итоговым баллом 125. Для справки, IQ тест он сдал на 30 баллов.

В рейтинговом списке Одесской местной прокуратуры № 1 можно наблюдать, правда на втором месте (из скромности видимо), кандидатуру скандально известного Алексея Горностаева (ныне заместитель прокурора Киевского района Одессы) – зятя Генерального прокурора Украины Виктора Шокина. Его жена Татьяна Горностаева являлась «смотрящей» от ГПУ в Одесса. Именно ее Михаил Саакашвили обвинил в коррупции и «крышевании» бизнеса.

А вот уже первое место в рейтинговом списке Одесской местной прокуратуры №2 занимаетодиозный прокурор Сергей Костенко. Известный своей любовью к элитной недвижимости,арестом «автомайдановца» Резвушкина, распределением руководящих должностей в районных прокуратурах области вне конкурса и многим другим. Одесская активистка Вера Запорожец опубликовала фото особняка прокурора Киевского района г. Одессы Сергея Костенко со всеми имеющимися «прелестями» и «доспехами» от заслуженной прокурорской службы за долгие года. В июле 2015 года Костенко и его коллега Юрий Кичук занялись расстановкой кадров в районных прокуратурах еще до начала конкурса.
В распоряжение журналистов попало письмо по теме «Пока так» с вложенным файлом «Районные кадры», в котором Кичук, в частности, информирует заместителя прокурора области Костенко, как нужно распределить руководящие должности в районных и межрайонных прокуратурах Одесской области. Также Костенку вменяют «крышевание» бизнеса и заваливание следствия по сепаратизму.



Ярким примером действий, а не слов по отношению к реформе является, то, что Сакварелидзе лично представлял Костенко на должность прокурора Суворовской районной прокуратуры. Хитрая борьба получается с коррупцией у грузина-реформатора. Здесь, перед СМИ, Сакварелидзе грозится быть грозой коррупционеров, а вот тут уже, как прокурор Одесской области, представляет коррупционера Костенко в новой должности.
Второе место в рейтинговом списке Одесской местной прокуратуры № 3 занимает фигурант скандального списка распределения вакансий в районных прокуратурах Одесской области – заместитель прокурора Приморского района Одессы Алексей Химченко. А на 10 месте в этом же списке оказался владелец шикарного особняка, гостиницы и ресторана – заместитель прокурора Приморского района Одессы Дмитрий Коробко. Коробко является владельцем шикарного дома в Дофиновке и ресторана в центре Одессы. Выдвигают к нему претензии по крышеванию борделей в виде бань, «наливаек», игровых автоматов, пунктов приема металлолома, контрабанды сигарет, наезду на бизнес в Киевском районе Одессы.

Второе место в рейтинговом списке на руководителей уже Киевской местной прокуратуры №1 занимает Андрей Милевский (прокурор Голосеевского района г. Киев) – зять Людмилы Ерховой, – главного бухгалтера ГПУ. Милевский в период руководства Генпрокуратурой Виктора Пшонки работал в должности зама прокурора Шевченковского района Киева, а затем «запомнился» предпринимателям города своей «кипучей деятельностью» в кресле природоохранного прокурора столицы, и, согласно закону «Об очищении власти», подлежит люстрации, но продолжает работать в системе ГПУ. Кроме того, сама Ерхова и ее зять после участия в выездном совещании прокуроров в Краматорске 2-3 октября прошлого года обзавелись статусами участников антитеррористической операции.
В списке Киевской местной прокуратуры № 1 на пятом месте (144,7 балла) расположился Артем Ясь – сын люстрированного заместителя прокурора Черниговской области Александра Яся. Сам Артем сейчас занимает должность начальника управления прокуратуры Киевской области.

На втором месте в списках Киевской местной прокуратуры № 9 с результатом в 166,7 баллов значится Валентин Брянцев – старший прокурор прокуратуры Подольского района Киева. Он запомнился преследованием националистов и даже выступил обвинителем по делу «Украина без Кучмы» против УНА-УНСО за события 9 марта 2001 года. В свое время он получил закрытую черепно-мозговую травму и многочисленные ушибы во время акции по «люстрации» от «Святошинских робингудов».

Старший прокурор Дарницкой прокуратуры Сергей Влад – сын экс-заместителя главы АМКУ Федора Влада, претендует на руководящую должность в Киевской местной прокуратуре № 2. Сергей занял в рейтинговом списке 6 место, набрав 151 балл.

Андрей Котяш, прокурор г. Славутич Киевской области – сын Ивана Котяша, экс-руководителя «Беркута» Ровенской области, стал финалистом открытого конкурса и претендует на руководящую должность Броварской местной прокуратуры столичной области. Андрей набрал 112,3 баллов и занял 13 место. Отец молодого прокурора, руководитель Ровенского «Беркута» 21 февраля 2014 года вместе с 40 бойцами своего подразделения подал в отставку и на Вече на Майдане попросил прощения у народа Украины за свои действия во время противостояния на Грушевского.

Не смотря на очень низкий результат в 67,3 балла, руководителем Фастовской местной прокуратуры Киевской области может стать Сергей Грибенников, заместитель Фастовского межрайонного прокурора – сын Александра Грибенникова, экс-начальника УВД г. Белая Церковь и брат Анатолия Грибенникова, прокурора прокуратуры Деснянского района Киева (вел дела против майдановцев). Сергей занимает 13 место из 15 претендентов.

Претендует на руководящие должности Криворожской местной прокуратуры №1 Днепропетровской области прокурор Днепропетровска Алексей Чернов – сын Вячеслава Чернова, в прошлом помощника-консультанта народного депутата Украины от Партии Регионов, председателя Международной общественной организации «Землячество Приднепровья» Вячеслава Задорожного. Алексей занял в списке 2-е место, набрав 151 балл.

Тимур Федоряк, прокурор Кировского района города Днепропетровска – брат Виталия Федоряка, одного из «Днепропетровских террористов», которые 27 апреля 2012 года организовали четыре взрыва в центре города, от которых пострадало 30 человек. В ходе досудебного разбирательства Виталий Федоряк грозился следователям, что его брат, сотрудник прокуратуры «все порешает». Тимур занял второе место в рейтинговом списке Днепропетровской местной прокуратуры №3 с результатом в 155 баллов.

Одним из претендентов на руководящие должности Здолбуневской местной прокуратуры является прокурор Здолбуновского района Ровенской области Олег Калаур – сын Леонида Калаура, экс-заместителя прокурора Ровенской области. Олег набрал 120 итоговых баллов и занял 9-е место в рейтинговом списке.

Вот вам примеры, иллюстрирующие истинное лицо реформы Давида Сакварелидзе.
Поиск «запятнавшихся» можно продолжать еще очень долго. Такое положение вещей просто нивелирует саму идею тестирования и хоронит реформу. Без аттестации действующих прокуроров проведение открытого конкурса снимает с них ответственность за свою прошлую деятельность. В общем, конкурс еще не закончился, а уже сфальсифицирован.
Правда иногда родственные связи и высокопоставленные покровители могут давать сбой. Так, заместитель прокурора Голосеевского района Киева Евгений Франтовский – сын экс-прокурора Донецкой области Николая Франтовского оказался за бортом претендентов на руководящие должности в Киевской местной прокуратуре № 1, заняв 24-е место (116,3).
Также не стал претендентом на руководящие должности Киевской местной прокуратуры №7 заместитель прокурора Голосеевского района Дмитрий Глушак – сын Вадима Глушака, который руководил столичной прокуратурой в статусе «и.о.» в 2007 году. Дмитрий набрал всего 119 баллов и занял 20 место в рейтинге.
Мимо руководящих кресел Киевской местной прокуратуры № 3 пролетел и заместитель прокурора Деснянского района Киева Павел Данильченко – сын Юрия Данильченко, прокурора Харьковской области, набрав 88,7 баллов он занял 21 место. Особенно его подвел тест на IQ по результатам которого он получил 16, 7 баллов.
Низкие баллы за тест на IQ (16,7) и в целом неутешительные результаты (84,7 – 39 место) продемонстрировал первый заместитель прокурора Днепровского района Киева Вячеслав Морозов – сын Юрия Морозова, начальника отдела кадров ГПУ при Пшонке.
Из-за низких баллов (16,7) по тесту на общие способности срезался и прокурор Днепровского района Киева Алексей Калина. Набрав 95,7 баллов, он обосновался на 30 месте рейтинге Киевской местной прокуратуры № 4. Калина запомнился тем, как рьяно защищал старшего сына главы фракции Блока Петра Порошенко Юрия Луценко Александра, который в ночь на 9 февраля 2015 года попал в ДТП на Нивках. Тогда Калина подтвердил версию семьи Луценко о том, что в аварии с участием Daewoo Lanos (за рулем был милиционер Петр Левчук, который погиб) и Volkswagen Touareg депутатского отпрыска VIP-сынок не виноват.
Занял последнее место в списке Киевской местной прокуратуры № 6 с самым низким балом по тесту на IQ (10) один из кандидатов на должность директора НАБ адвокат Яков Варичев.
Изучая списки, мы обнаружили и подтасовки с рейтингом. Так, в списке Коростенской местной прокуратуры Житомирской области кандидата с итоговым баллом 117 опустили с его законного 5-го места на 11-е.

Давид Сакварелидзе планировал обновить состав местной прокуратуры на 70%. Он много говорил о необходимости появления в прокуратуре «новых партнеров», которые не хотят никому лезть в карман, отбирать деньги, «крышевать» бизнес. Фактически реформа направлена на то, чтобы отсеять действующих работников хотя бы на административных должностях и набрать новых, честных сотрудников и руководителей.
Но вывешенные 9 октября списки ставят под сомнение всю эту затею.
Борец с коррупцией Виталий Шабунин и Елена Сотник выступили с жесткой критикой реформы Сакварелидзе. В частности, Шабунин заявил, что реформа местных прокуратур не состоялась, ведь 95% победителей конкурса составляют старые прокуроры.
Мы не выступаем за увольнение «под чистую» старых прокуроров и набор на их место новых. Нам не понятна логика реформ младореформаторов, которые декларируют одно, а делают другое.
Если в прокуратурах останутся те же люди, то зачем проводит открытый конкурс, не учитывающий результаты предыдущей работы претендентов. Следовало бы говорить, в первую очередь, о переаттестации прокуроров на основе четких критериев. На конкурсе прокуроры демонстрируют свое знание законов, общие способности и личные качества, но не демонстрируют, что они смогли сделать за предыдущие годы работы. То есть, им опять дают карт-бланш на работу и даже тем, кто ее уже завалил и не оправдал оказанное доверие.
Не только украинцы, но и наши западные доноры уже устали от имитации реформ. Как говорится, сколько угодно можно латать фасад старого, обветшавшего и гнилого здания, но его будущее от этого не изменится – оно рано или поздно рухнет.
Исходя из этого, у «Прокурорской правды» есть несколько вопросов:
- какой смысл проводить открытый конкурс с целью обновления состава прокуратуры на 70%, если почти 80% всех претендентов это действующие прокурорские работники?
- когда зам генпрокурора Давид Сакварелидзе перестанет имитировать реформирование прокуратуры и сделает реальное обновление прокурорского состава?
- смогут ли на собеседовании отсеять коррупционеров и родственников или в прокуратуре должны работать только «свои люди» и «новым партнерам» там места нет?
Теги: Лисич ЛарисаКалаур ОлегФедоряк ТимурЧернов АлексейГрибенников СергейКотяш АндрейВлад СергейБрянцев ВалентинМилевский АндрейЯсь АртемКоробко ЮрийХимченко АлексейКостенко СергейТатьяна ГорностаеваГорностаева ТатьянаГорностаев АлексейОсташевский АндрейШаравара ВасилийПетров ПавелГринь ГригорийПравдюк ВладиславКузченко ВладимирКовтун ВладимирМогильный ВалерийСакварелидзе ДавидМихалюк РоманГенпрокуратураГПУПрокурор
	Комментарии:
comments powered by DisqusЗагрузка...
Наши опросы
Показать результаты опроса
Показать все опросы на сайте
				
				
				
				
				
				
				
				
			
		
		