25 тысяч работников сокращают: в «Укрпочте» нашли 32 зарплатных миллионера

25 тысяч работников сокращают: в «Укрпочте» нашли 32 зарплатных миллионера
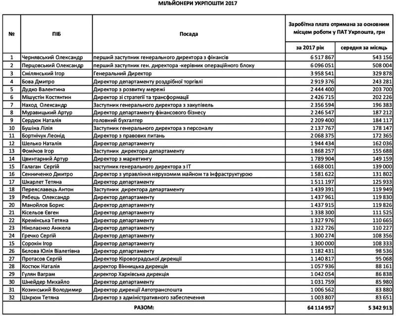
Укрпочта собирается уволить по всей стране около 25 тысяч работников и закроет 7 тысяч отделений. Тем временем в 2017 году 32 сотрудника «Укрпочты» получили зарплаты, размер которой превысил миллион гривен.
Об этом со ссылкой на издание НСЖУ «Журналіст України» пишут «Украинские новости».
Так, речь идет о том, что самую большую зарплату за 2017 год получил первый заместитель генерального директора по финансам Александр Чернявский. Его труд оценили в 6,5 млн грн за год. При этом еще в 2016 году его зарплата была значительно меньше: около 3,2 млн гривен за год.

Скриншот: ukranews.com
Вторую по величине зарплату получает заместитель гендиректора «Укрпочты» Александр Перцовский. Его заработок составляет 6 млн грн в год. При этом в 2016 году у него было всего 3,6 млн ривен. Что касается главы компании Игоря Смелянского, он оказался на третьем месте рейтинга зарплат. Его заработок составил почти 4 млн грн в год.
Теги: Смелянский ИгорьПерцовский АлександрЧернявский АлександрЗарплатаУвольнениеУкрпочта
Коментарі:
comments powered by DisqusЗагрузка...
Наші опитування
Показати результати опитування
Показати всі опитування на сайті
