Украинцам показали зарплаты депутатов за декабрь

Украинцам показали зарплаты депутатов за декабрь
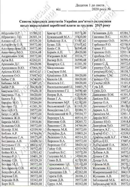
Главы фракций и групп в Верховной Раде Украины в декабре 2019 года получили зарплаты в размере от 32 до 42 тысяч гривен.
Об этом сообщают «Украинские новости» со ссылкой на ответ аппарата Верховной Рады на информационный запрос.
Так, Давид Арахамия на должности председателя фракции монобольшинства «Слуга народа» получил в декабре 38 420,96 грн, а его первый заместитель, депутат Александр Корниенко — 39 572 грн.
Сопредседатели фракции «Оппозиционная платформа — За жизнь» Вадим Рабинович и Юрий Бойко заработали 32 034,48 грн и 32 931,42 грн соответственно, глава фракции «Всеукраинское объединение «Батькивщина» Юлия Тимошенко — 39 237,39 грн.
Сопредседатели фракции «Европейская солидарность» Артур Герасимов и Ирина Геращенко за декабрь получили зарплаты в размере 38 419,96 грн и 42 262 гривны соответственно, председатель фракции «Голос» Сергей Рахманин — 40 342 грн.
Лидеры парламентской группы «За будущее» Виктор Бондар и Тарас Батенко заработали 35 401,28 грн и 41 301,5 грн соответственно, глава группы «Доверие» Олег Кулинич — 34 487,32 грн.
Самую большую среди парламентариев зарплату за декабрь прошлого года получил депутат от «Оппозиционной платформы» Григорий Мамка — 51 433,36 грн.
Лидер партии «Голос», певец Святослав Вакарчук заработал в прошлом месяце 41301, 50 грн., а пятый президент Украины Петр Порошенко – 34395,05 грн.
Также нардепам начислили по 76 840 гривен на выполнение депутатских полномочий за декабрь и ноябрь 2019 года.




Теги: ПарламентНародные депутаты УкраиныВыплатыЗарплатаВерховная рада
Коментарі:
comments powered by DisqusЗагрузка...
Наші опитування
Показати результати опитування
Показати всі опитування на сайті
