С января по май 2021 года украинские предприниматели при "поддержке" фискальных органов лишили бюджет поступлений НДС на сумму более 12 млрд грн. В популярной схеме "скруток", когда импортные товары, продукты питания, горюче-смазочные материалы по документам конвертируются в сельхозпродукцию для экспорта, приняли участие не менее 1300 компаний. В распоряжение редакции попал полный список этих предприятий и аналитическая отчетность по суммам "скруток" и незаконного возмещения НДС.
Схема "скруток" существует долгие годы. Ее суть состоит в том, чтобы соединить налоговый кредит, который сформировался вследствие импорта или изготовления товаров на теневом рынке (продажа за наличные), и налоговое обязательство, возникающее у плательщиков, которым нужно легализировать "теневые" товары. Документы на проданные за наличные товары "продают" "заказчику" налогового кредита, при этом зачастую в схеме "комбинируются" несочетаемые между собой товары: например, против покупки ГСМ выступает продажа помидоров. Сама "скрутка", то есть подмена номенклатуры товаров, происходит на так называемых "транзитных" предприятиях-посредниках. Однако и "продавец", и "заказчик" налогового кредита являются полноценными соучастниками преступления.
Многие главы фискальной службы вне зависимости от ее формального названия в конкретный момент времени, даже не пытались искоренить эти махинации. А наоборот, всегда стремились получить над ней контроль. На самом деле схема документального превращения одних товаров в другие - довольно топорная и односложная. Все манипуляции видны аналитикам налоговой. А значит, безоблачное существование этого способа уклонения от уплаты налогов на миллиарды гривень ежемесячно невозможно без того, чтобы фискалы просто закрывали на него глаза. Разумеется, не бесплатно.
О суммах, которые крутятся на этом "рынке" и о потенциальном размере "комиссионных", которые могут брать себе нечистые на руку налоговики, можно судить хотя бы по публичным заявлениям и доступным документам. Например, экс-министр финансов Игорь Уманский оценивает объемы скруток в 60 млрд грн. в год. Согласно отчету временной следственной комиссии Верховной рады, которая проводила оценку деятельности налоговых органов и расследовала, в том числе, объемы "рынка" скруток, в 2020 году участники схем "скрутили" порядка 27 млрд грн. При этом только в период с мая по декабрь 2020 года - когда главой ГНС был нынешний первый вице-премьер-министр и министр экономики Алексей Любченко, объем "скруток" составил 19,6 млрд грн. или порядка 2,5 млрд грн. ежемесячно. Максимум, который удалось зафиксировать ВСК - 4,3 млрд грн в ноябре 2020 года.
В распоряжении редакции оказались документы, которые подтверждают, что в следующие пять месяцев пребывания Любченко на посту главы налоговой службы ситуация не только не изменилась, но и усугубилась. Согласно данным, собранным аналитиками, объем транзитно-конвертационного оборота за период с января по май 2021 года составил 12,4 млрд грн. В деятельности схем задействовано около 1350 предприятий. Наибольшее количество таких налогоплательщиков ожидаемо приходится на управления во Львовской, Донецкой, Киевской, Харьковской, Одесской областях, а также в Киеве. Основные товарные группы, принимающих участие в конвертации: импортные товары, продукты питания, сигареты, горюче-смазочные материалы. Основная товарная группа на выходе - сельскохозяйственная продукция, предназначена для дальнейшего экспорта.
На основании списков компаний-участников конвертационных и "транзитных" схем, аналитики сделали выводы о ключевых бенефициарах и организаторах таких процессов. В частности, в документе упоминаются львовский предприниматель, которого определенные медиа называют "королем контабанды", хотя сам он часто себя позиционирует как "адвокат".
В Киеве главным бенефициаром скруток аналитики называют Вячеслава Стрелковского, который также регулярно фигурирует в публикациях о конвертационных центрах и "теплых" взаимоотношениях с налоговыми органами. Кроме того, в столичном перечне скрутчиков оказались президент агрохолдинга AGR Group Мисак Хидирян, гендиректор Grainexpo EU Севак Чиркинян, соучредитель ООО "Торговый дом Столичный ювелирный завод" Юрий Карфик, фигурант публикаций о конвертационных центрах Игорь Стаковиченко.
В Днепропетровской области в перечень "скрутчиков", задействованных в схемах Любченко, вошли президент хоккейного клуба "Приднепровск" Сергей Грибков, учредитель Интеркредитбанка и ряда других бизнесов в Днепре Владимир Тугай, предприниматели Николай Кононов, Андрей Кузнецов, Илья Никитин (группа Комбат).
В Харьковской области главным схематозником назван Сергей Еськов (группа Дигма), на Волыни - Сергей Мостынец (импортер автомобилей и
запчастей). Среди других регионов одним из ключевых бенефициаров скруток, по данным аналитиков, является одесский предприниматель Андрей Бобогло.
По мнению авторов документа, ситуация со скрутками сложилась из-за бездействия должностных лиц ГНС, поскольку у налоговиков есть целый перечень инструментов для отработки и предупреждения формирования и распространения сомнительного налогового кредита. Это подтверждают и данные отчета ВСК по расследованию обстоятельств скруток. В ряде регионов более половины сигналов о необходимости реагирования на скрутки, как выяснила комиссия, попросту игнорируются. Например, во Львовской области налоговики "отработали" только 20% выгодоприобретателей коррупционных схем, в Одесской - 33%, в Харьковской - 45%.
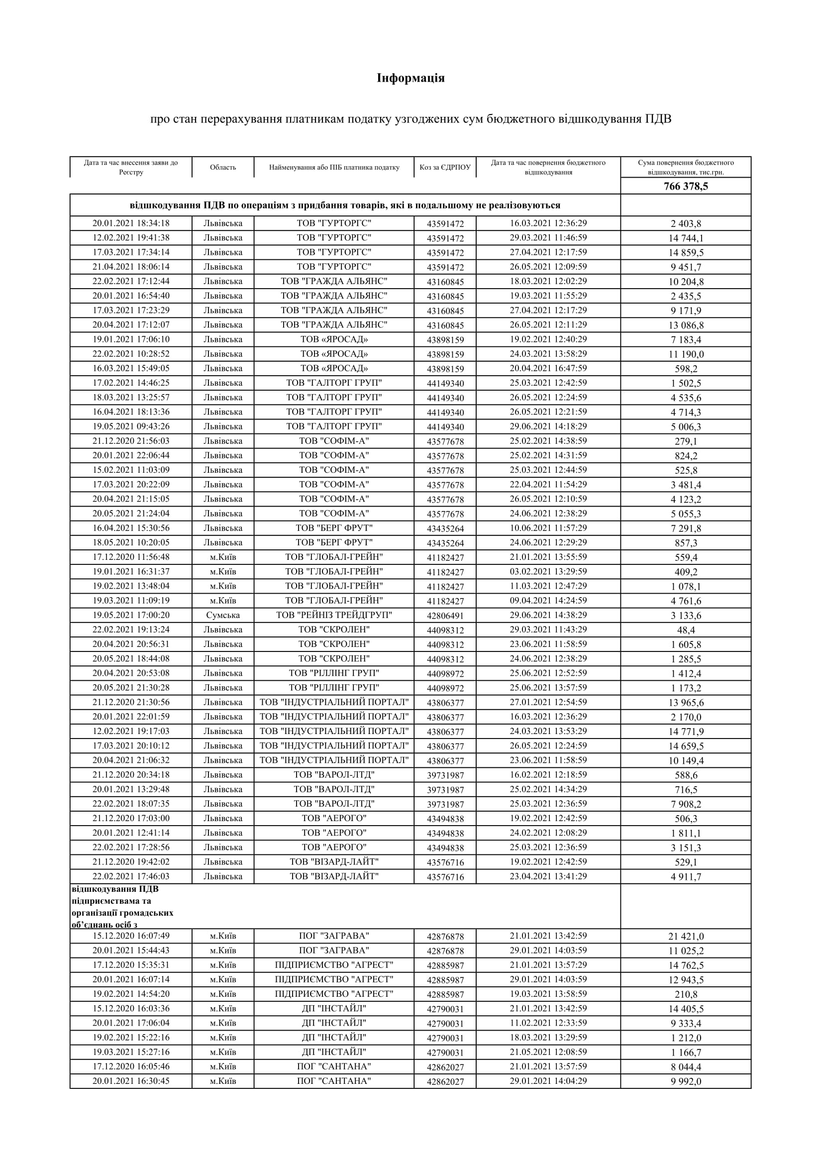
Также аналитиками установлена системно отлаженная работа по незаконному возмещению НДС из бюджета. Самыми распространенными являются схемы возмещения НДС предприятиям и организациям общественных объединений лиц с инвалидностью, которые имеют право на применение нулевой ставки налога; схема возмещения НДС по операциям по приобретению товаров (как импорт так и на таможенной территории), которые в дальнейшем не реализуются; схема возмещения НДС по судебным решениям, по которым не было принято достаточных мер со стороны ГНС по отстаиванию интересов государства.
Недавно СМИ подсчитали, что непродолжительная деятельность Алексея Любченко на посту главы налоговой службы обошлась государству и налогоплательщикам примерно в $1 млрд. Описанные выше схемы и компании - лишь часть гораздо большей картины, которую еще предстоит изучить и должным образом оценить правоохранительным органам. Особенно в свете того, как активно чиновник продвигает свою кандидатуру на пост будущего премьер-министра.
Автор: Иван Бойко

