Получают меньше кондукторов: в Украине массово увольняются полицейские

Получают меньше кондукторов: в Украине массово увольняются полицейские
В ряде населенных пунктов Украины наблюдается увольнение сотрудников полиции: кое-где отмечены массовые случаи ухода со службы. Что приводит к увольнению стражей правопорядка со службы.
Об этом рассказывает «Апостроф» .
Ключевыми причинами увольнения в ряде случаев являются:
- искривление фактов работы сотрудников полиции публичными лицами, что приводит к снижению доверия населения к полиции;
- систематическое давление со стороны руководства ГУНП области о выполнении показателей «раскрываемости» преступлений,
- уровень заработных плат, который не соответствует ожиданию претендентов на должность в полиции и сотрудников, работающих не первый год.
Например, в городе Токмак Запорожской области из полиции уволилось 30 сотрудников.
Об этом сообщила на своей странице в Facebook народный депутат Украины от фракции «Слуга народа» 79 округа Запорожской области Юлия Яцык — по ее словам, это 95% от всего личного состава отделения полиции. Стоит добавить, что все эти люди уволились из рядов ГУНП 31 декабря 2021 года.
Фото: FB Юлия Яцык
Фото: FB Юлия Яцык
Фото: FB Юлия Яцык
Тем временем, издание «Высокий замок» сообщает, что полицейские увольняются из-за малых зарплат.
Журналисты отмечают, что в последние дни декабря 2021 года правоохранители стали более «либерально» себя вести по отношению к нарушителям правил дорожного движения — их не штрафовали, а ограничивались «воспитательными беседами».
«Более либеральное отношение к нарушителям ПДД сократило объем поступлений в госбюджет из этого источника его наполнения.
Таким образом, патрульные пытаются привлечь внимание власти к мизерным зарплатам. Те, кто работает на периферии, в районах, ежемесячно получают 11 200 грн. 13 300 грн платят патрульным полицейским, которые несут вахту в городах с почти миллионом населения. 1
4 500 грн насчитывают стражам правопорядка в столице. Патрульные полицейские считают, что их нелегкий труд недооценивают.
Что, несмотря на значительные риски для здоровья и жизни, с которыми связана эта работа, их приравняли к среднестатистическому украинцу, средняя зарплата которого составляет примерно 14 000 грн», — пишет издание.
Некоторые полицейские прямо говорят, что они получают куда меньше, чем охранники в супермаркетах, или кондукторы в общественном транспорте.
В то же время, высшие чины полиции либо не знают об этом, либо делают вид, что не знают, возмущаются представители младшего состава.
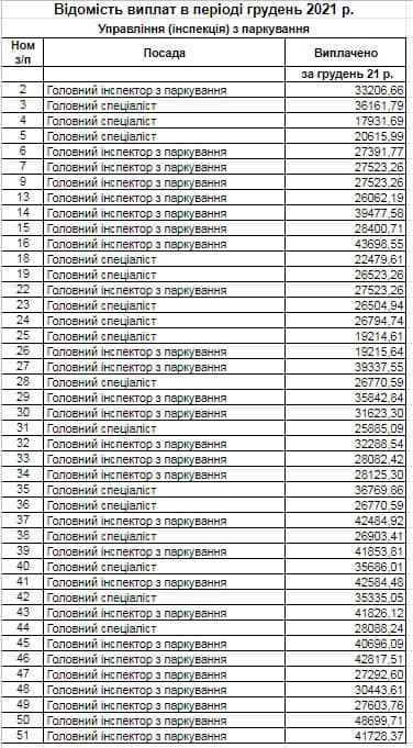
В Киеве полицейских вовсе зовут на работу в инспекцию по парковке. Так, замглавы КГГА Константин Усов сообщил на своей странице в Facebook, что в декабре зарплаты там составили от 17 000 до 48 000 гривен.

Более того, в первые месяцы 2022 года киевские власти надеются заполнить в инспекции по парковке еще 50 вакансий.
Ранее мы сообщали, что рядовые полицейские в Украине встретили Новый год без премий и “коронавирусных” доплат, получив лишь обычную заработную плату.
Теги: ЗарплатаУвольнениеПолицейскиеПравоохранительные органы
Коментарі:
comments powered by DisqusЗагрузка...
Наші опитування
Показати результати опитування
Показати всі опитування на сайті
