Сергей Левочкин должен сесть

Сергей Левочкин должен сесть
Кооператив «Лазурка». Как вилла Левочкина под Ниццей привела к сделке с Укртелекомом.
Элитный уголок на Лазурном побережье Франции. Вблизи виллы-музея баронессы Беатрисы Ротшильд, в уютной бухте Средиземного моря раскинулся городок Сен Жан Кап Ферра.
Здесь на расстоянии десятков метров друг от друга поселились двое бенефициаров украинской коррупции — Сергей Левочкин и Дмитрий Фирташ.
И если Фирташ формально никогда не был на государственной службе — хотя много лет плодотворно «сотрудничает» с различными президентами и премьер-министрами — то Левочкин уже более десяти лет является чиновником, а найденная им вилла не значится ни в одной декларации.
Ритм жизни и низкая оплата труда слуг народа не дает Левочкину никакой легальной возможности зарабатывать на такую недвижимость. Наверное, поэтому дом Левочкина на Сен Жан Кап Ферра оформлен через цепь подставных фирм с регистрацией в Дании и Люксембурге с использованием граждан Кипра как номинальных директоров.
Но в ходе расследования незадекларированной недвижимости Левочкина под Ниццей, автор этих строк вышел на более широкие горизонты разоблачений. В частности, о его связи с компанией, которая коррупционным образом приватизировала «Укртелеком» во времена Януковича, а также с газовым посредником RosUkrEnergo, возникшем на рубеже коррупционных интересов Украины и России.
ИСТОРИЯ 1. Санкционный список
Март 2014 года. Через неделю после падения режима Януковича Европейский Союз наложил санкции против ближайшего окружения бывшего президента.
Мало кто даже до сих пор знает, каким образом формировался санкционный список ЕС. Как оказалось впоследствии, перечень «врагов Украины» был составлен не в Брюсселе, а в Киеве. Совет Европейского Союза только утвердил то, что получил от новой власти Украины. Полный список лиц, на которых наложили международные санкции, был подготовлен Генпрокуратурой Украины во главе с Олегом Мохницким и направлен Верховному представителю Евросоюза Кэтрин Эштон 3 марта 2014 года.
В списке было 18 фамилий ближайшего окружения Януковича. Через месяц он был дополнен еще четырьмя лицами, Генпрокуратура тогда направила второе письмо в Евросоюз.
По странному стечению обстоятельств, в списках не оказалось ни одного человека из окружения Януковича, которые входили в неформальный клан RosUkrEnergo — ни Сергея Левочкина, ни Дмитрия Фирташа, ни Юрия Бойко. Не нашлось места даже для мелких деятелей вроде Евгения Бакулина и братьев Кацуб. Возможным объяснением такой странной избирательности является то, что первый постмайданный генпрокурор Мохницкий был зависим от серого кардинала партии «Свобода» Игоря Кривецкого, который, в свою очередь, имел общие бизнес-интересы с Фирташем в недвижимости.
Стоимость такой «услуги», как избежать санкций ЕС, сложно переоценить. В отличие от многих фигурантов санкционного списка, для которых наказание Евросоюза не имело последствий, потому что они не владели активами в Европе, для Левочкина с Фирташем попадания в «черный список» ЕС могло иметь тяжелые последствия. Ведь эти люди являются владельцами многочисленной недвижимости за рубежом.
Но момент был упущен, и все участники украинского политического клана RosUkrEnergo избежали даже минимального наказания. Левочкин и Бойко теперь работают депутатами парламента, время от времени угрожая досрочными выборами весной 2016 года. А Фирташ находится под следствием в США за несвязанный с Украиной эпизод. В 2015 году он смог избежать экстрадиции в Америку, добившись положительного решения в первой инстанции суда Вены.
Шанс ввести международные санкции против окружения Януковича существовал лишь в первые недели после смены власти. Тогда, когда Европейский Союз сделал шаг навстречу Украине и согласился ввести ограничения в отношении лиц, которые могли быть причастны к хищению государственного имущества в годы правления Януковича.
Уже после апреля 2014 года новых фигурантов в санкционный список не добавляли, а только удаляли из него. Поэтому на сегодняшний день не существует ни одного способа включить Левочкина, Фирташа или Бойко в существующий перечень. Единственная возможность — это начать расследование силами украинских правоохранительных органов и обращаться к иностранным государствам о правовой помощи.
ИСТОРИЯ 2. «Лазурка» Фирташа
После распада Советского Союза нынешний президент России Владимир Путин и его нынешнее окружение владели дачными домами посреди Карельского перешейка, которые были объединены в «кооператив Озеро». Своеобразный кооператив устроили себе и Фирташ с Левочкиным на самых дорогих землях Европы — Лазурном побережье Франции. Эти двое обладают земельными участками и виллами в городе Сен Жан Кап Ферра.
Вилла Фирташа утопает в зелени. Она называется «La Mauresque» («Мавританка») и расположена по двум адресам — номер 52 на бульваре Шарля де Голля (Boulevard Charles De Gaulle) и номер 48 на авеню Бельвю (Avenue Bellevue).
Этот роскошный дом стоимостью 49 млн евро с садом, бассейном и теннисным кортом оформлен на компанию LM Holdings. Согласно документам, которые есть в распоряжении автора, цедентами (лицами, уступающие свои права — УП) фирмы является директор многих предприятий Фирташа Роберт Шетлер-Джонс и еще один британец Дэвид Браун, а цессионарием (правопреемником — УП) — сам Дмитрий Фирташ.
Из предыдущих владельцев виллы Фирташа на Лазурном побережье Франции был писатель Сомерсет Моэм, о чем могут рассказать местные жители. Одна из них, Моньин Лутун, призналась во время прогулки со своей собакой, что Фирташа никогда не встретишь на улице, а жители дома — неприветливы и засекречены. Хотя «бизнес» Фирташа был всегда связан с лояльностью к нему власти, он никогда не работал на выборных или государственных должностях и не должен был декларировать свою недвижимость.
В отличие от его компаньона Сергея Левочкина.
Дочь Левочкина опубликовала снимок с их семейного отдыха в прошлом году. В кадр не попало почти ничего, кроме характерного забора и фонарей. О том, что Левочкин имеет недвижимость в Сен Жан Кап Ферра, давно ходили слухи среди украинских бизнесменов и политиков.
Именно с этой виллы год назад дочь Левочкина Елена постилась в Instagram фото семейного отдыха
Знающие люди, пожелавшие не называть их фамилии в этом материале, сузили наш фокус в конкретной части мыса. Далее был поиск в Google Street View, чтобы найти подобный экстерьер. Итак, роскошная вилла Левочкина расположена по адресу: дом 56, бульвар Шарля де Голля (Boulevard du Général de Gaulle) в Сен Жан Кап Ферра.
Движемся дальше. Кадастр находится в мэрии города Сен Жан Кап Ферра, где приветливая сотрудница раскрывает тайны секретной недвижимости бывшего главы администрации президента Януковича. Как оказалось, Левочкину принадлежит сразу пять земельных участков, объединенных одной территорией и почтовым адресом. Здесь так же можно получить информацию о владельце. Недвижимость Левочкина оформлена на датскую компанию Glorietta Investments I APS.


ИСТОРИЯ 4. От Лазурного побережья Франции — до Копенгагена
Дом на мысе Ферра, который сегодня принадлежит Левочкину, имеет историю. Сначала он принадлежал семье предпринимателей, специализировавшихся на морских грузовых перевозках. Потом — немецким промышленникам, занимающихся изготовлением оружия. Несколько лет назад он оказался в руках многолетнего украинского чиновника, который четыре года строил авторитарный режим вместе с Виктором Януковичем.
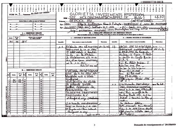
Сначала домом владела компания из Нидерландов Glorietta Investments Amsterdam BV, которая сейчас является неактивной. В ноябре 2005 года собственность была переоформлена на датскую компанию Glorietta Investments APS, а в феврале 2014 года она переименовалась в Glorietta Investments I APS.
Датские реестры — кладязь информации. Так, нам удалось получить доступ к отчету, который подготовили аудиторы для ежегодной встречи акционеров в мае 2015 года. На 14 странице отчета подтверждается, что компания Glorietta Investments I APS действительно владеет недвижимостью во Франции на астрономическую сумму — 40 млн евро. Это и есть стоимость дома Сергея Левочкина в Сен Жан Кап Ферра.
На следующей странице также сообщается, что поскольку недвижимость находится во Франции, то она и налоги платит там же, поэтому она не ведет никакой деятельности в Дании, которая требовала бы налогообложения.
Согласно учредительным документам, компания Glorietta Investments I APS имеет одного-единственного учредителя. Это фирма Boutifour SA с регистрацией в Люксембурге. Также можно установить дату, когда Левочкин купил дом на мысе Ферра. Оказывается, 8 июня 2011 года состоялась одновременная смена директоров в датской и люксембургской компанияхй.
Приобретение произошло за неделю до дня рождения Левочкина. Так, в этот день директорами датской компании Glorietta Investments I APS стали две киприотки — Аудриана Пиас (Audriana Pias) и Ксения Георгиоу (Xenia Georgiou). Обе зарегистрированы в столице островного государства — Кипре. Об этом сообщает выписка на компанию Glorietta Investments I APS.
И в этот же день, 8 июня 2011 года перестановки произошли не только среди директоров датской компании, но в Люксембурге. Руководителями материнской компании Boutifour SA стали еще три киприотки — Андроула Завалье Тевес (Androula Zavalli Teves), Иванна Сотириоу (Ioanna Sotiriou) и Амаль Сароут Ламброу (Amal Sarout Lambrou). Эта информация содержится в «Мемориале» — официальном журнале Великого Герцогства Люксембург.
ИСТОРИЯ 5. Лазурка — Копенгаген — Кипр — Укртелеком
Новоназначенные Левочкиным новые директора его фирмы Аудриана Пиас (Audriana Pias) и Ксения Георгиоу (Xenia Georgiou) станут ключом для дальнейшего исследования. Через дом Левочкина на Лазурном побережье можно выйти на целую сеть его интересов, которые всегда оставались скрытыми. Так, раскрытие номинальных директоров компании, на которую оформлена вилла Левочкина, выводит участников теневой приватизации государственного монстра «Укртелеком» во времена Януковича.
Конкурс был объявлен в октябре 2010 года, через восемь месяцев после избрания Януковича президентом. Единственную заявку подала фирма «ЕСУ», которую безальтернативно и объявили победителем. Соглашение о покупке «Укртелекома» за 10,5 млрд гривен было заключено 11 марта 2011 года, через год после формирования правительства Азарова.
Кто стоял за покупателем, официально неизвестно до сих пор. 3 декабря 2010 года, за 17 дней до подачи заявки на участие в приватизации «Укртелекома», компания «ЕСУ» сменила владельца — все 100% акций оказались в распоряжении кипрской фирмы Epic Telecom Invest Ltd, созданной за две недели до того. А теперь как в калейдоскопе начали подниматься знакомые фамилии из учредительных документов датской фирмы, которая владеет домом Левочкина на Лазурном побережье.
Так, компания Epic Telecom Invest Ltd сегодня существует под другой вывеской. 19 декабря 2013 года, через три года после подачи заявки на “Укртелеком”, она сменила название на Raga Establishment Ltd (они имеют одинаковый регистрационный номер в реестре Кипра №НЕ 276881).
Посмотрим на данные кипрского реестра по Raga Establisment Ltd. Одним из директоров этой фирмы является директор датской прокладки, обладающий виллой Левочкина на Лазурци — Аудриана Пиас. Другим директором компании Raga / Epic является женщина по имени Георгия Георгиоу (Georgia Georgiou), сестра Ксении Георгиоу. Той самой Ксении, которая вместе с Пиас является вторым директором фирмы-владелицы виллы.
То есть одни и те же люди одновременно возглавляют фирму, которая владеет домом Левочкина на Сен Жан Кап Ферра — и которая «выиграла» во времена Януковича приватизацию «Укртелекома». Но идем дальше.
ИСТОРИЯ 6. Лазурка — Кипр — Клиринговый дом
Cестры Георгиоу еще много раз будут всплывать в компаниях, ведущих к Левочкину. Так, кроме того, что они являются директорами в фирмах, которые владеют виллой и купили «Укртелеком», сестры также засветились в семейном банке Левочкиных «Клиринговый дом». Согласно официальному ответу Нацбанка, Юлия Левочкина, сестра Сергея Левочкина, официально идентифицировала себя как конечный бенефициар этого финансового учреждения.
Одна из компаний, которую Левочкина признала как свою собственность в структуре распределения акций банка «Клиринговый дом», называется Utelo Holdings Ltd. Секретарем фирмы Utelo Holdings Ltd является та самая Георгия Георгиоу — которая также была директором фирмы-приватизатора «Укртелекома», и сестра которой Ксения Георгиоу является директором фирмы-владельца виллы Левочкина.
А что сам Сергей Левочкин? — спросите вы. До недавнего времени он официально признавал, что является владельцем лишь одной компании — кипрской фирмы Oskaro Investments Ltd.
Свои права на эту фирму он озвучил еще во времена Виктора Януковича. Так вот, директором Oskaro Investments Ltd является Мария Шуфтас (Maria Shufta), которая одновременно с Георгием Георгиоу работают в упомянутой выше Utelo Holdings Ltd, которая держит для Юлии Левочкин акции в банке «Клиринговый дом» как напрямую, так и через компанию «Интрейд».
Фирташ с Левочкиным устроили своеобразный кооператив на самых дорогих землях Европы — Лазурном побережье Франции.
ИСТОРИЯ 7. Укртелеком — ФирташСегодня эпизод по «Укртелекому” является единственным, по котором
Как уже отмечалось выше, приватизация “Укртелекома” в 2010 году проходила непрозрачно, без конкуренции. Единственным участником и победителем конкурса была компания «ЕСУ», которой владели неидентифицированные киприоты. Кто входил в первую “пайку” по приватизации «Укртелекома» — никогда известно не было. Источники говорят, что это был «пул» олигархов и коррупционеров. Разные люди называют разные фамилии, в том числе Янукович, Ахметов, Фирташ и Левочкин, которые «вскладчину» купили Укртелеком — в том числе, используя финансирование Сбербанка России. По меньшей мере, эти лица фигурируют в запросе Украины к некоторым европейским государствам о предоставлении правовой помощи в части выявления конечных бенефициаров компании «ЕСУ».
Впоследствии, в 2013 году, акции в компании «ЕСУ» полностью перешли к Ринату Ахметову. В распоряжении автора есть записка, которую готовила придворная организация олигарха «Бюро экономических и социальных технологий» для своего начальника, где прорабатываются различные варианты и упоминается Фирташ в качестве продавца «Укртелекома».
Когда Ахметов готовился выкупить «Укртелеком» у предыдущих загадочных собственников, его приватизировали, пиар-штаб самого богатого украинца развернул целый проект «Юпитер», чтобы общественности объяснить эту сделку. В разделе «Имеющиеся репутационные риски» авторы докладной упоминают, что предлагается выйти на публику версии «Фирташ как продавец». «Эта информация может трактоваться как непрозрачная передача актива из одного кармана, приближенного к семье первого лица, в другой», — отмечается в документе.
Сегодня эпизод по «Укртелекому” является единственным, по которому начался заочный суд над Януковичем, и который стал основанием для объявления его в розыск по линии Интерпола. Януковичу инкриминируют выдачу распоряжения, согласно которому компания «ЕСУ» перевела на государство обязательства построить сеть специальной связи. Цена вопроса немалая — 220 млн гривен, почти 30 млн долларов по тогдашнему курсу.
Итак, чтобы снять с компании «ЕСУ» обязательства потратить 220 млн гривен на развитие сети, согласно материалам дела, «Янукович вступил в преступный сговор” с другими высокими чиновниками и добился внесения изменений в бюджет Украины. После чего эти обязательства на 220 млн грн повесили на граждан Украины.
Так ближайшее окружение Левочкина — Георгий Дзекон и Илья Солодовский — были выведены из-под удара. Сначала им предъявили подозрение, но через два месяца их сняли с розыска.
ИСТОРИЯ 8. Левочкин — RosUkrEnergo
Кроме разоблачения Левочкина как причастного к приватизации «Укртелекома», его вилла на Сен Жан Кап Ферра дает выход еще на один след. Речь идет о газовом посреднике RosUkrEnergo, который много лет был хабом для выплаты коррупционных средств политикам, задействованным в организации поставок газа в Украину. Когда на политическом небосклоне только возникла загадочная тогда компания RosUkrEnergo, было много противоречивой информации относительно ее владельцев. Сначала 50% акций были записаны на компанию «Райффайзен Инвестментс», но впоследствии они обнародовали фамилию человека, которого представляли — это Дмитрий Фирташ.
Впоследствии доля «Райффайзен Инвестментс» была переписана на компанию Centragas. Эта фирма — это одна зацепка для распутывания коррупционного гнезда. Так, наблюдательный совет Centragas возглавлял Роберт Шетлер-Джонс, номинальный владелец дома Фирташа в Сен Жан Кап Ферра. Но если проанализировать директоров в компаниях, владеющих другим домом на Лазурном побережье, принадлежащему Левочкину, это дает основания утверждать о наличии и его интереса в RosUkrEnergo.
Как известно, этот газовый посредник вышел на украинский рынок в последний год президентства Леонида Кучмы, когда С. Левочкин работал на Банковой первым помощником президента. Так, упомянутая в начале статьи Ксения Георгиоу (директор датской фирмы, владеющая для Левочкина домом на Лазурном берегу), также была руководителем кипрской фирмы Prelux Holdings Limited, которая во времена второго премьерства Януковича была владельцем золотой жилы — около 25% акций RosUkrEnergo (Prelux выступала акционером на 44% в австрийской компании Centragas, которая на паритетных началах вместе с «Газпромом» владела половиной акций RosUkrEnergo.
Кроме того, 10% в Centragas принадлежали и до сих пор принадлежит другой кипрской компании — Grenar Enterprises, директором которой выступает Амаль Сароут Ламброу (Amal Sarout Lambrou ) — одна из директоров фирмы Boutifour SA из Люксембурга. Она владеет упомянутой датской компанией, которая держит на своем балансе недвижимость Левочкина на Лазурном побережье. При этом коллегой Ламбру, секретарем в Grenar Enterprises, является наша старая знакомая Мария Шуфтас, управляющий единственной официально и публично признанной Левочкиным компанией Oskaro Investments Ltd.
К тому времени RosUkrEnergo не только поставлял газ из России, но и продавал его внутри Украины, получая сверхприбыли в сотни миллионов евро. Все упомянутые киприоты — сестры Георгиоу, Мария Шуфтас, Аудриана Пиас, Амаль Сароут Ламброу — фигурируют в десятках компаний Фирташа и Левочкина. Не только тех, связанных с приватизацией «Укртелекома» или правами собственности в RosUkrEnergo. Но, например, в компаниях, владеющих вертолетами группы Фирташа.
Так, Аудриана Пиас является директором в кипрской фирме Kilchoman Ltd, которая в государственном реестре Украины идентифицирована как контора Фирташа, посредством которой он владеет предприятием «ДФ Авиэйшн». Также Аудриана Пиас является директором фирм Arakua Ltd и Bokar Ventures Ltd, которые в государственном Реестре гражданских воздушных судов Украины владеют двумя вертолетами премиум-класса Agusta AW109 (на подобных летал в течение президентства и скрылся из Киева Виктор Янукович). Ее коллегой в этих фирмах является Говард Уилсон, который вместе с Фирташем является директором в компании Centragas.
ИСТОРИЯ 9. Политическая
Если репутация Дмитрия Фирташа уже давно разрушена, то его компаньон Сергей Левочкин умудрился за многие годы оставаться в тени и избегать прямой ассоциации с одиозными начальниками. Так было и во времена Кучмы, которому он помогал как первый помощник, и во времена Януковича, режим которого Левочкин возводил собственными руками. В обоих случаях он позиционировал себя «умеренным» крылом в окружении авторитарных руководителей и наращивал собственный капитал — как денежный, так и политический, и международный.
Левочкин не скрывает, что хочет быть премьер-министром Украины. Он на короткой ноге с послом США Пайеттом и помощником государственного секретаря Викторией Нуланд. Говорит по-английски. Управляет мощным медиа-орудием страны — телеканалом «Интер» и публикуется в западной прессе. В то же время это не должно вводить в заблуждение — Левочкин является плотью и кровью Януковича, его приближенным лицом.
Он был вхож в “семью” и участвовал в свадьбе старшего сына Януковича, когда еще мало кто знал эту фамилию. Когда донецкий губернатор еще в 1990-е годы искал каналы влияния на центральную украинскую политику, то Левочкин стал его представителем в Киеве. Работая на государственной службе, Левочкин постоянно обогащался, доказательства чего можно увидеть на Лазурном побережье Франции. Понимая, что подобная недвижимость недоступна для государственного служащего, Левочкин оформил имущество на подставных лиц и не задекларировал имущество. Это желание скрыть свои следы сыграло злую шутку — ведь через номинальных директоров Левочкина можно проследить его следы в других сделках …
Когда весной этого года премьер-министр Арсений Яценюк побывал во Франции, его приняли первые лица этой страны. Во время разговора с главой правительства республики Яценюк решил отойти за рамки традиционного обмена мнениями и полушутя-полусерьезно предложил французскому премьеру конфисковать собственность украинских олигархов на Лазурном побережье Франции. Но сделать это можно только в условиях возбуждения соответствующих уголовных производств Украины. Соответствующие обращения будут направлены автором этих строк в Генпрокуратуру и Национальное антикоррупционное бюро.
Материал подготовлен при содействии датского проекта журналистских расследований SCOOP
—
Сергей Лещенко, опубликовано в издании Украинская правда
Перевод: Аргумент
Теги: Левочкин
Коментарі:
comments powered by DisqusЗагрузка...
Наші опитування
Показати результати опитування
Показати всі опитування на сайті



















































