Стало відомо, скільки турецького щебеню імпортує Україна

Стало відомо, скільки турецького щебеню імпортує Україна
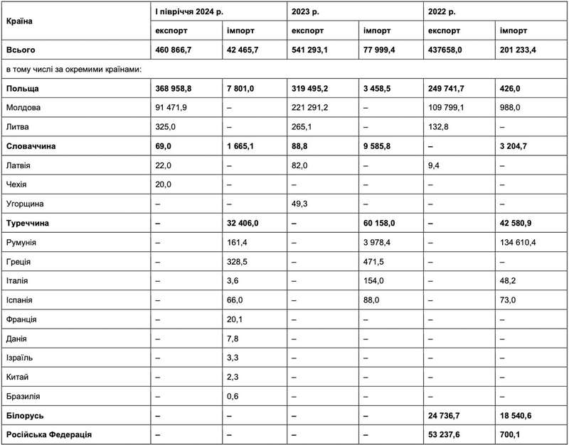
Протягом першого півріччя 2024 року до України з Туреччини імпортували більш ніж 32,4 тисячі тонн щебеневої продукції/наповнювачів для бетонів/баластів.
Про це повідомили в Асоціації «Виробників нерудних будівельних матеріалів України» з посиланням на дані Державної служби статистики України щодо зовнішньої торгівлі окремими видами товарів за країнами світу.
Протягом останніх трьох років Туреччина залишається лідером за обсягами постачання щебеневої продукції/наповнювачів для бетонів/баластів в Україну: у 2023 році було імпортовано близько 60,16 тисячі тонн, у 2022 році – 42,6 тисячі тонн.
Крім Туреччини, цю продукцію до України постачали з таких країн (перше півріччя 2024 / 2023 / 2022, дані в тисячах тонн, заокруглено):
- Польща (7,8 / 3,5 / 0,4);
- Словаччина (1,7 / 9,6 / 3,2);
- Румунія (0,16 / 4 / 134);
- Греція (0,3 / 0,5 / 0.0).
Щодо експорту щебеневої продукції, найбільшими були поставки до Польщі (369 / 319,5 / 249,7) та Молдови (91,5 / 221,3 / 109,8).
Як зазначено в опублікованих даних, у 2022 році Україна імпортувала 18,5 тисячі тонн щебеневої продукції з Республіки Білорусь та 700 тонн з Російської Федерації (експортуючи у 2022 році до РБ 24,7 тисячі тонн і до РФ – 53,2 тисячі тонн).
В цілому, згідно з оприлюдненими даними, обсяг експорту та імпорту гальки, гравію, щебеню або подрібненого каміння, яке зазвичай використовується як наповнювач для бетону чи баласт для мостіння шосейних доріг і залізничних колій або як інші види баласту, галька та кремінь, термічно оброблені або необроблені (код УКТ ЗЕД 2517 10) становив:

Теги: УкраїнаУкраинаТурцияТуреччинаЩебеньІмпортИмпорт
Коментарі:
comments powered by DisqusЗагрузка...
Наші опитування
Показати результати опитування
Показати всі опитування на сайті
